Dos años ya desde que salió el primer post del blog, 24 meses intentando seguir la actualidad de la exploración espacial, la astronomía y la astrobiología con mayor o menor acierto.

Autorretrato del Curiosity
En este año nos hemos maravillado con las andanzas del Curiosity por las rocosas tierras marcianas, hemos conocido que Marte tuvo capacidad de albergar vida no hace mucho tiempo, hemos aprendido más sobre los elementos que componen sus minerales y su atmósfera. Nos hemos parado a contemplar las hermosas panorámicas del cráter Gale y del monte Aeolis. Un mundo nuevo por explorar con señales muy evidentes de haber sido muy distinto en un pasado.
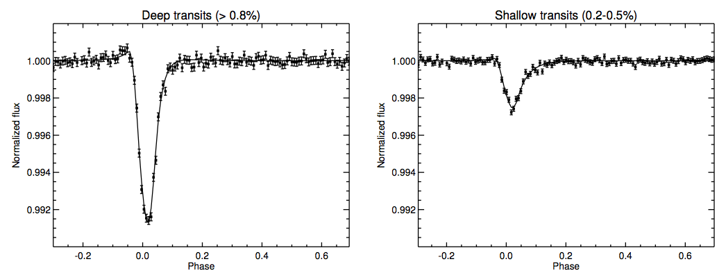
Hemos seguido,con asombro, los descubrimientos del telescopio espacial Kepler, cientos de exoplanetas cazados, de todos los tamaños imaginables y algunos incluso potencialmente habitables. Grandes monstruos varias veces del tamaño de Júpiter orbitando sus estrellas a unas distancias ridículamente pequeñas, mundos el doble de grandes que nuestra Tierra en zonas donde la vida quizás ha tenido una oportunidad para prosperar. Rastros de metano y agua en atmósferas de mundos situados a decenas de años luz. Cosas inimaginables a principios de este siglo cuando nuestra ciencia pensaba que era imposible rastrear algo tan lejano con tanta precisión.

Lago de Titán
Nos hemos parado a contemplar las llanuras y lagos de Titán, un mundo rebosante de compuestos orgánicos como el metano y el etano, la mayor luna de Saturno que espera a que nos decidamos a explorarla con el interés y la seriedad que merece. Al igual que otra luna en Júpiter, Europa, un enorme oceáno de agua bajo una corteza de hielo que tiene fascinada a toda la comunidad científica, un objetivo que el ser humano está obligado a investigar a fondo, el probable santo grial de la astrobiología sin ningún plan serio de exploración a la vista. Una indignación que crece con cada nuevo dato que conocemos. Un viaje de exploración que en otras épocas de nuestra historia hubiese sido prioritario, y que ahora aparcamos en un rincón castigando a nuestro instinto de conocimiento de forma cruel…
Otros temas como los nuevos avances en cosmología han ocupado varías líneas de este blog, las imágenes más precisas de la radiación de fondo nos han mostrado a nuestro universo poco después de su nacimiento. Eventos puntuales como el seguimiento al cometa Ison o la aparición de supernovas en nuestro firmamento también han sido portada. Pero, echando la vista atrás, he de reconocer que a este blog le apasiona la vida y la pequeña búsqueda que nuestra especie ha empezado a realizar más allá de las fronteras de nuestro planeta.

Lo hemos repetido hasta la saciedad, nuestros átomos y moléculas provienen de enormes explosiones estelares ocurridas hace miles de millones de años, el proceso que esas pequeñas partículas de polvo cósmico han tenido que seguir para formar vida es de una belleza y complejidad de la que apenas empezamos a comprender, no sin enormes lagunas. Millones de células dividiéndose y especializándose según unos patrones muy concretos almacenados en millones de copias de ADN, leyendo y ejecutando órdenes precisas para desarrollar la forma más evolucionada que conocemos de vida… nosotros.
Es increíble observar como la vida se abre paso en nuestro planeta, entender y estudiar cada dificultad o cada reto que ha tenido que superar desde que apareció hasta nuestros días es una de las prioridades de nuestra especie. Pero nos faltan datos, nos faltan registros y nos faltan respuestas a preguntas cruciales. No sabemos, aún, si el desarrollo de la vida es excepcional de una pequeña roca que gira alrededor de una estrella situada en un vecindario de las afueras de una enorme estructura como es nuestra Vía Láctea, o sin embargo, la aparición de seres vivos es un paso más de la evolución cosmológica, tan común como puede ser la existencia de planetas, astros y galaxias… un simple paso más.
Tampoco sabemos si de ser común la existencia de vida, ésta se limita a pequeños microorganismos que apenas sobreviven unos pocos miles de años en inhóspitos ambientes o, por el contrario, la evolución siempre encuentra un camino para sobrevivir y crecer en complejidad.
Todas estas respuestas son imprescindibles para entender nuestra propia existencia. Quizás no tengan muchas respuestas en el tercer año de este humilde blog, o quizás aparezca alguna por pequeña que sea.
Gracias a todos por la gran acogida en este segundo año del blog. El gran momento por el que pasa la exploración espacial y la astronomía han favorecido mucho a que se hayan disparado las visitas, y en este tercer año las perspectivas son mucho mejores.
Crucemos los dedos, la vida sigue abriéndose paso…
Si te ha gustado el post compártelo :)